2017 年,一篇《Attention Is All You Need》论文成为 AI 发展的一个重要分水岭,其中提出的 Transformer 依然是现今主流语言模型的基础范式。尤其是在基于 Transformer 的语言模型的 Scaling Law 得到实验验证后,AI 领域的发展更是进入了快车道。

现如今,这篇论文的引用量正向 19 万冲刺,而 Transformer 和注意力机制本身也已经历了很多改进和创新,比如我们前段时间报道过的「Multi-Token Attention」和「Multi-matrix Factorization Attention」等。
随着 AI 的不断发展,现如今的一个重要挑战是如何获得足够多高质量的 token。又或者,该如何更高效地利用这些 token?为此,还必须对 Transformer 进行进一步的升级改造。
近日,Meta 的一篇论文公布了他们在这方面取得的一个新进展,提出了一种旋转不变型三线性注意力机制,并证明其表示能力与 2-simplicial Transformer 相当。更重要的是,它的表现甚至足以改变 Scaling Law 中的系数。Meta 也用 Triton 实现了这种注意力机制。

该研究基于 RoPE 向三线性函数的泛化;而 2-simplicial Transformer 则源自 2019 年 Clift et al. 的研究《Logic and the 2-Simplicial Transformer》,其中将 Transformer 的点积注意力机制泛化到了三线性形式。

- 论文标题:Fast and Simplex: 2-Simplicial Attention in Triton
- 论文地址:https://arxiv.org/pdf/2507.02754.pdf
他们进一步证明,在有限的 token 预算下,2-simplicial Transformer 的扩展性优于 Transformer。
此外,他们的实验还表明,2-simplicial Transformer 相对于 Transformer 具有更有利的参数数量 scaling 指数。这表明,与 Chinchilla scaling 不同,有可能以比 2-simplicial Transformer 的参数增长更慢的速度增加 token 数量。
研究结果表明,在 token 约束下运行时,与点积注意力机制 Transformer 相比,2-simplicial Transformer 可以更有效地逼近自然语言的不可约熵。
神经 Scaling Law 概述
要理解这项研究的意义,首先需要了解一下 Scaling Law。

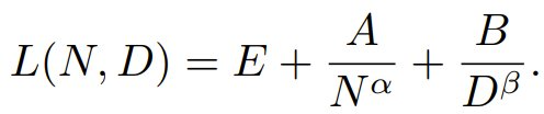
对于给定的计算预算 C,其中 FLOPs (N, D) = C,可以将最佳参数数量表示为 N_opt ∝ C^a,将最佳数据集大小表示为 D_opt ∝ C^b。Hoffmann et al. (2022) 进行了多次实验,并根据损失拟合了参数函数,以估计指数 a 和 b。
结果,通过多种不同方法发现:a 约为 0.49,b 约为 0.5。
如此,便引出了 Hoffmann et al. (2022) 的一个核心论点:必须根据模型大小按比例扩展 token 数量。
但是,正如前面讨论的那样,足够高质量且足够数量的 token 是预训练扩展的新瓶颈,因此需要探索替代的训练算法和架构。另一方面,最近的研究表明,之前文献中提出的大多数建模和优化技术仅仅改变了误差(偏移了 E),并没有从根本上改变幂律中的指数。谷歌 DeepMind 的研究者 Katie Everett 对此进行过精彩的讨论:
https://x.com/_katieeverett/status/1925665335727808651

添加图片注释,不超过 140 字(可选)
2-simplicial Transformer
2-simplicial Transformer 由 Clift et al. (2019) 提出,他们将点积注意力机制从双线性扩展为三线性形式,也就是从 1-simplex 扩展成了 2-simplex。



基于行列式的三线性形式
Su et al., 2024 提出 RoPE 时,是想将其作为一种用于 Transformer 语言模型的序列位置信息捕获方法。RoPE 对查询 q_i 和键 k_j 应用位置相关的旋转,使得点积 <q_i, K_j> 是相对距离 i-j 的函数。特别需要注意的是,点积对于正交变换 R 具有不变性:

这对于 RoPE 至关重要,因为对于同一位置 i 相同的查询 q_i 和键 k_i,我们期望其点积不会因基于位置的旋转而发生变化。请注意,(5) 式中定义的三线性形式并非是旋转不变,并且对 q_i 、k_i 和 k′_i 进行相同的旋转不再保留内积。因此,为了将 RoPE 泛化到 2-simplicial 注意力模型,探索其他具有旋转不变性的双线性和三线性形式至关重要。
而 Meta 的这个团队注意到,以下函数也具有旋转不变性:


模型设计
由于 2-simplicial 注意力在序列长度 n 上的扩展复杂度为 O (n^3),因此将其应用于整个序列是不切实际的。该团队的做法是将其参数化为 O (n× w_1 × w_2),其中 w_1 和 w_2 定义的是序列上滑动窗口的维度。每个查询向量 Q_i 会关注 w_1 个 K 键和 w_2 个 K′ 键的局部区域,从而减轻计算负担。该团队系统地评估了 w_1 和 w_2 的各种配置,以确定计算效率和模型性能之间的最佳平衡点(见表 1)。

对于因果点积注意力机制,长度为 n 的序列的复杂度由下式给出:

其中 n 是序列长度。这涉及两次矩阵乘法:一次用于 Q@K,一次用于 P@V,每次乘法每个元素都需要两次浮点运算。因果掩码使其能够跳过 1/2 的计算。
相比之下,以 w_1 和 w_2 为参数的 2-simplicial 注意力机制的复杂度表示为:

其复杂度的增长来源是三线性 einsum 运算,与标准点积注意力机制相比,它需要进行一次额外的乘法运算。
该团队选择窗口大小为 (512, 32),以平衡延迟和质量。在此配置下,2-simplicial 注意力机制的计算复杂度与 48k 上下文长度的点积注意力机制相当。
图 2 给出了一个实现。因此,像在 Flash 注意力机制中那样平铺式查询 Q 会导致计算吞吐量较低。受 Native Sparse Attention 的启发,Meta 该团队采用的模型架构利用了较高 (64) 的分组查询注意力 (GQA) 比率。这种方法能够沿着查询头高效地平铺,确保密集计算,并消除昂贵的逐元素掩码。

该团队还引入了一系列针对 2-simplicial 注意力的核优化,这些优化基于使用在线 softmax 的 Flash Attention。详见原论文。下面来重点看看实验表现。

实验与结果
这个团队训练了一系列 MoE 模型,其参数范围从 1B 活动参数和 57B 总参数到 3.5B 活动参数和 176B 总参数。具体配置见原论文。

该团队发现,从 1B (活动)参数模型到 3.5B (活动)参数模型,负对数似然的扩展(∆)出现了下降。
此外,在小于 2B (活动)参数的模型中,使用 2-simplicial 注意力机制没有任何好处。
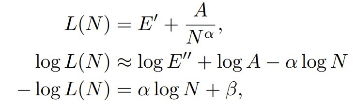
基于此,该团队估算了 2-simplicial 注意力机制与点积注意力机制的幂律系数有何不同。基于前述方法,其损失可以表示为:

由于训练这两个模型使用的 token 数量相同,因此可以忽略第三项,将损失简化为:

其中 β = – log E′′ – logA ,由于 E′ 较小,E′′ 是 E′ 的近似值。注意,这里使用了 log (a + b) = log (1 + a/b) + log (b) 来分离这两个项,并将 1 + a/b 项隐藏在 E′′ 中。
因此,可以根据表 2 中的损失估算两组模型的 α 和 β,其中 N 代表每个模型中的有效参数。
该团队在表 3 中估计了 Transformer 和 2-simplicial Transformer 的斜率 α 和截距 β。

可以看到,与点积注意力 Transformer 相比,2-simplicial 注意力具有更陡的斜率 α,即其 Scaling Law 的指数更高。
文章来自于微信公众号“机器之心”。














